BusphotoBUSPHOTO

Informatsioon foto kohta

610 KB


Pildi ID:524240
Faili suurus:610 KB
Autor:busdv
Avaldatud:11.06.2023 10:44 EET
Päevi saidil:929
Unikaalseid vaatamisi:146
Kommentaare:0

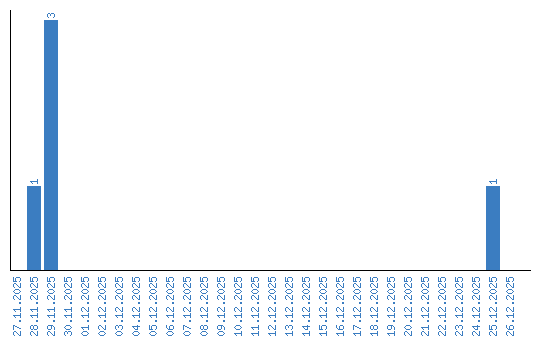
Vaatamiste statistika kuupäeviti