BusphotoBUSPHOTO

Picture Statistics

324 KB


Picture ID:524906
File Size:324 KB
Author:rostik
Publication Date:13.06.2023 19:11 EET
Days in Database:963
Unique views:230
Comments:0

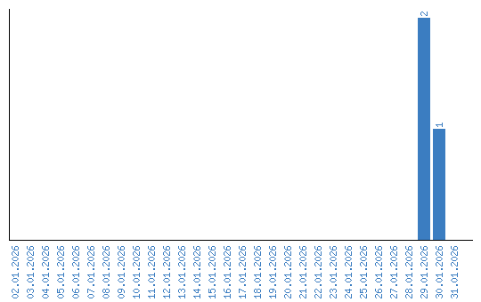
Viewing statistics by date