BusphotoBUSPHOTO

Statistiques d'images

534 KO


ID de l'image:525284
Taille du fichier:534 KO
Auteur:Valius Kedainietis
Date de publication:15.06.2023 00:11 EET
Jours dans la base de données:986
Vues uniques:280
Commentaires:0

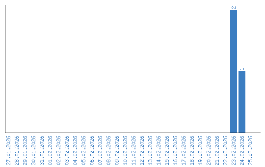
Affichage des statistiques par date