BusphotoBUSPHOTO

Picture Statistics

585 KB


Picture ID:527095
File Size:585 KB
Posted by:vik1568
Publication Date:21.06.2023 21:24 EET
Days in Database:975
Unique views:234
Comments:0

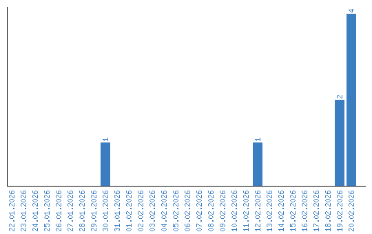
Viewing statistics by date