BusphotoBUSPHOTO

Picture Statistics

258 KB


Picture ID:533479
File Size:258 KB
Author:ToBen
Publication Date:16.07.2023 22:08 EET
Days in Database:958
Unique views:232
Comments:0

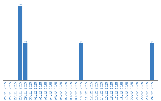
Viewing statistics by date