BusphotoBUSPHOTO

Picture Statistics

642 KB


Picture ID:534994
File Size:642 KB
Author:KurvenKratzer
Publication Date:22.07.2023 23:16 EET
Days in Database:924
Unique views:161
Comments:0

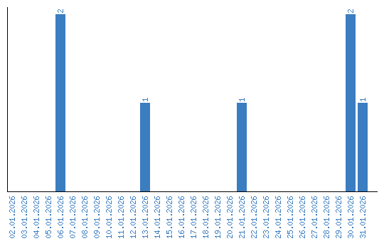
Viewing statistics by date