BusphotoBUSPHOTO

Picture Statistics

645 KB


Picture ID:538848
File Size:645 KB
Author:buspictures.nbg
Publication Date:05.08.2023 20:17 EET
Days in Database:880
Unique views:240
Comments:0

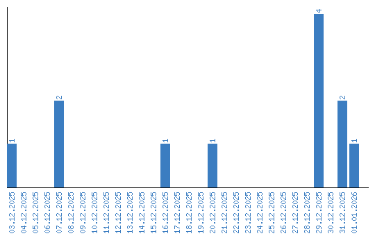
Viewing statistics by date