BusphotoBUSPHOTO

Iнфармацыя аб малюнку

753 КБ


Ідэнтыфікатар малюнка:540981
Памер файла:753 КБ
Аўтар:KurvenKratzer
Апублікавана:12.08.2023 01:33 EET
Знаходзіцца на сайце, дзён:918
Унікальных праглядаў:225
Каментароў:0

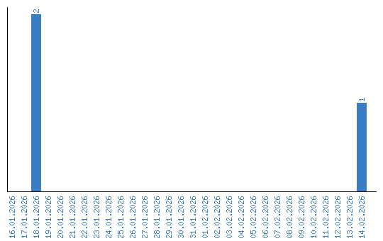
Дынаміка праглядаў па датах