BusphotoBUSPHOTO

Picture Statistics

813 KB


Picture ID:541015
File Size:813 KB
Author:Yannick1993
Publication Date:12.08.2023 11:38 EET
Days in Database:866
Unique views:273
Comments:0

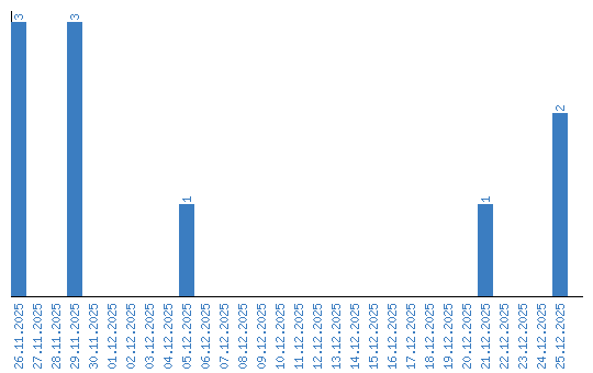
Viewing statistics by date