BusphotoBUSPHOTO

Štatistika obrázku

834 kB


Identifikátor obrázku:541170
Veľkosť súboru:834 kB
Autor:KurvenKratzer
Zverejnené:13.08.2023 00:29 EET
Nachádza sa na stránkach (dní):866
Jednotlivých zhliadnutí:356
Komentárov:0

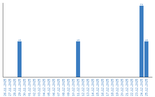
Zobrazenia po jednotlivých dňoch