BusphotoBUSPHOTO

Picture Statistics

668 KB


Picture ID:541253
File Size:668 KB
Author:KurvenKratzer
Publication Date:13.08.2023 02:58 EET
Days in Database:902
Unique views:224
Comments:0

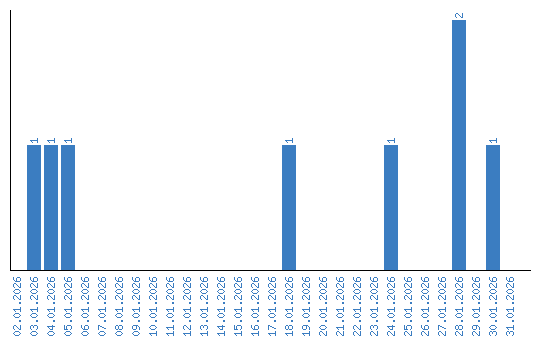
Viewing statistics by date