BusphotoBUSPHOTO

Picture Statistics

518 KB


Picture ID:543135
File Size:518 KB
Author:Odd
Publication Date:20.08.2023 00:37 EET
Days in Database:924
Unique views:347
Comments:0

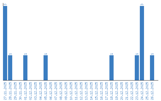
Viewing statistics by date