BusphotoBUSPHOTO

Statistika obrázku

330 kB


Identifikátor obrázku:547194
Velikost souboru:330 kB
Autor:uferlos88
Zveřejněno:02.09.2023 11:25 EET
Nachází se na stránkách (dní):864
Jednotlivých zhlédnutí:391
Komentářů:3

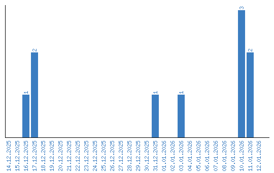
Zhlédnutí po jednotlivých dnech