BusphotoBUSPHOTO

Picture Statistics

577 KB


Picture ID:547794
File Size:577 KB
Author:saxony_spotter
Publication Date:04.09.2023 18:43 EET
Days in Database:859
Unique views:406
Comments:0

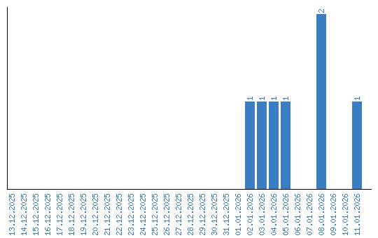
Viewing statistics by date