BussfotoBUSSFOTO

Bildstatistik

674 KB


Bild ID:550215
Filstorlek:674 KB
Författare:bus.troll.brest
Publiceringsdatum:12.09.2023 16:59 EET
Dagar i databasen:869
Unika visningar:203
kommentarer:0

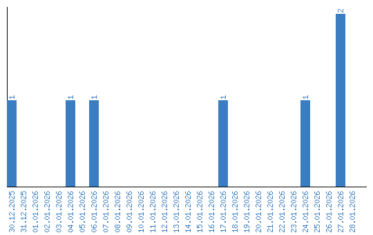
Visar statistik efter datum