BusphotoBUSPHOTO

Picture Statistics

635 KB


Picture ID:550296
File Size:635 KB
Author:Tipser
Publication Date:12.09.2023 22:20 EET
Days in Database:864
Unique views:237
Comments:0

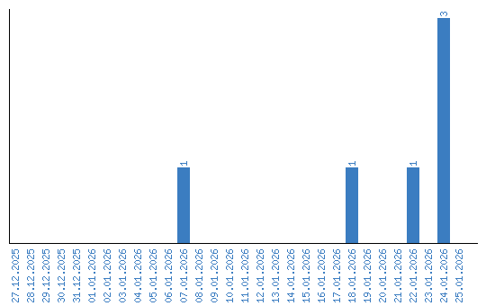
Viewing statistics by date