BusphotoBUSPHOTO

Estatística da Foto

520 KB


ID da Foto:551655
Tamanho Completo:520 KB
Autor:Azusa_Shirasu
Data de Publicação:17.09.2023 19:03 EET
Dias na Base de Dados:880
Exibições Únicas:241
Comentários:0

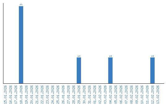
Visualização de estatísticas por data