BusphotoBUSPHOTO

Picture Statistics

631 KB


Picture ID:552407
File Size:631 KB
Author:Samuel Geisel
Publication Date:20.09.2023 01:41 EET
Days in Database:877
Unique views:142
Comments:0

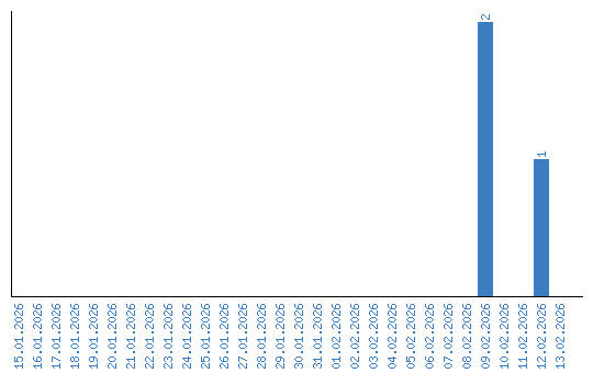
Viewing statistics by date