BusphotoBUSPHOTO

Statistika obrázku

578 kB


Identifikátor obrázku:554290
Velikost souboru:578 kB
Autor:10_
Zveřejněno:25.09.2023 17:46 EET
Nachází se na stránkách (dní):840
Jednotlivých zhlédnutí:202
Komentářů:0

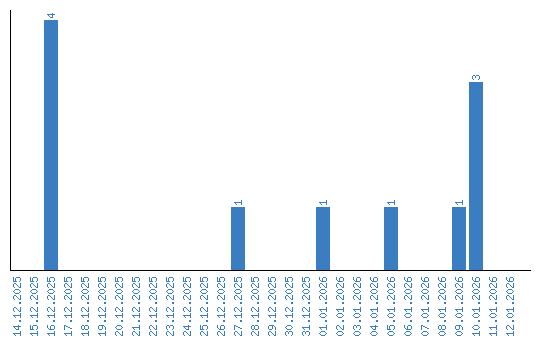
Zhlédnutí po jednotlivých dnech