BusphotoBUSPHOTO

Picture Statistics

3536 KB


Picture ID:555809
File Size:3536 KB
Author:Пазик 25 rus
Publication Date:30.09.2023 13:55 EET
Days in Database:856
Unique views:105
Comments:0

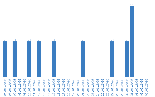
Viewing statistics by date