BusphotoBUSPHOTO

Picture Statistics

10455 KB


Picture ID:556816
File Size:10455 KB
Author:oepnv_wien
Publication Date:03.10.2023 19:33 EET
Days in Database:814
Unique views:361
Comments:0

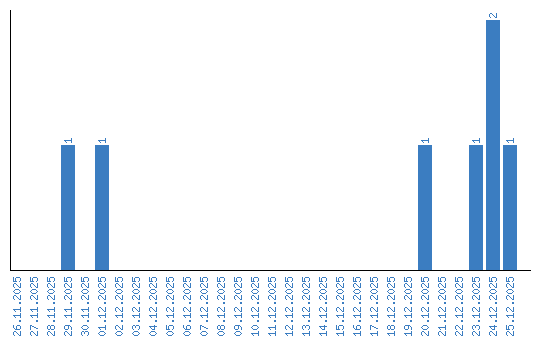
Viewing statistics by date