BusphotoBUSPHOTO

Picture Statistics

491 KB


Picture ID:55945
File Size:491 KB
Author:Archi
Publication Date:25.10.2012 20:22 EET
Days in Database:4874
Unique views:228
Comments:0

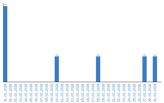
Viewing statistics by date