BusphotoBUSPHOTO

Picture Statistics

430 KB


Picture ID:561920
File Size:430 KB
Fotografato da:ToBen
Publication Date:22.10.2023 22:44 EET
Days in Database:802
Unique views:221
Comments:0

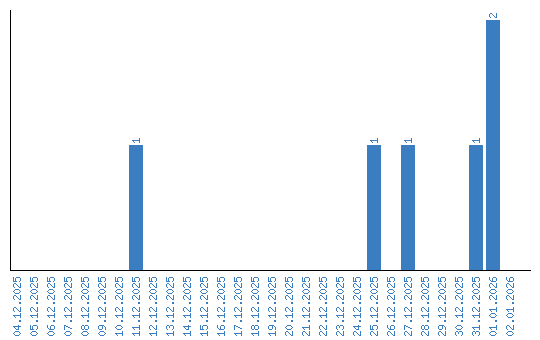
Viewing statistics by date