BusphotoBUSPHOTO

Picture Statistics

493 KB


Picture ID:56453
File Size:493 KB
Author:Lord Byron
Publication Date:29.10.2012 22:11 EET
Days in Database:4840
Unique views:252
Comments:0

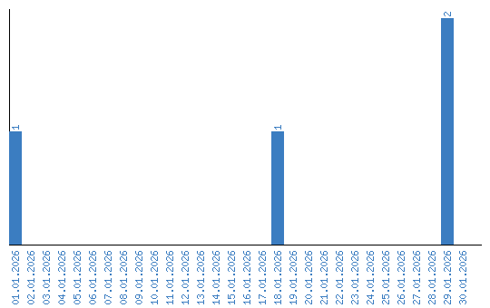
Viewing statistics by date