BusfotoBUSFOTO

Bildinformationen

2813 KB


Foto-ID:565098
Dateigröße:2813 KB
Aufgenommen von:Öffis by Aline
Veröffentlicht am:03.11.2023 22:43 EET
Tage seit Veröffentlichung:831
Aufrufe:290
Kommentare:0

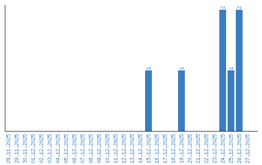
Aufrufestatistik (Tage)