BusphotoBUSPHOTO

Picture Statistics

236 KB


Picture ID:566268
File Size:236 KB
Author:olegp
Publication Date:07.11.2023 18:51 EET
Days in Database:817
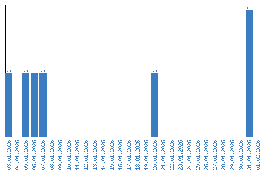
Unique views:238
Comments:0

Viewing statistics by date