BusphotoBUSPHOTO

Picture Statistics

410 KB


Picture ID:572738
File Size:410 KB
Author:olegp
Publication Date:02.12.2023 14:56 EET
Days in Database:787
Unique views:134
Comments:0

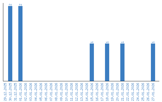
Viewing statistics by date