BusphotoBUSPHOTO

Статистика по зображенню

466 КБ


Ідентифікатор зображення:577757
Розмір файлу:466 КБ
Автор:BusGalerieMK
Опубліковано:22.12.2023 16:23 EET
Знаходиться на сайті, днів:733
Унікальних переглядів:346
Коментарів:0

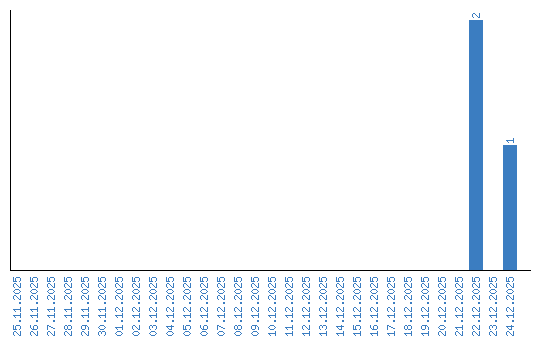
Динаміка переглядів за датами