BusphotoBUSPHOTO

Picture Statistics

394 KB


Picture ID:581768
File Size:394 KB
Author:ToBen
Publication Date:05.01.2024 17:05 EET
Days in Database:780
Unique views:212
Comments:0

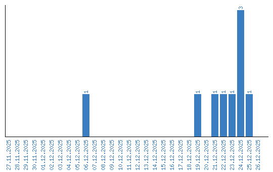
Viewing statistics by date