BusphotoBUSPHOTO

Picture Statistics

552 KB


Picture ID:582075
File Size:552 KB
Author:Gemini
Publication Date:06.01.2024 13:00 EET
Days in Database:781
Unique views:301
Comments:0

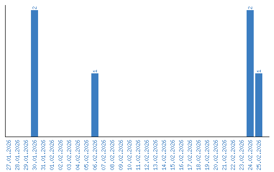
Viewing statistics by date