BusphotoBUSPHOTO

Picture Statistics

2003 KB


Picture ID:586978
File Size:2003 KB
Author:German Perfectionist
Publication Date:21.01.2024 23:00 EET
Days in Database:741
Unique views:301
Comments:0

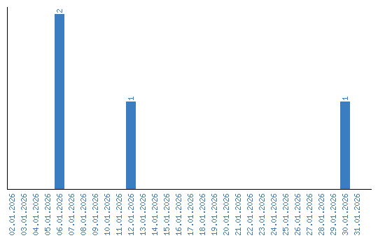
Viewing statistics by date