BusphotoBUSPHOTO

Picture Statistics

344 KB


Picture ID:5909
File Size:344 KB
Author:max6855
Publication Date:17.04.2011 19:52 EET
Days in Database:5405
Unique views:133
Comments:0

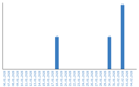
Viewing statistics by date