BusphotoBUSPHOTO

Picture Statistics

376 KB


Picture ID:5933
File Size:376 KB
Author:Verbounty
Publication Date:18.04.2011 01:32 EET
Days in Database:5383
Unique views:187
Comments:0

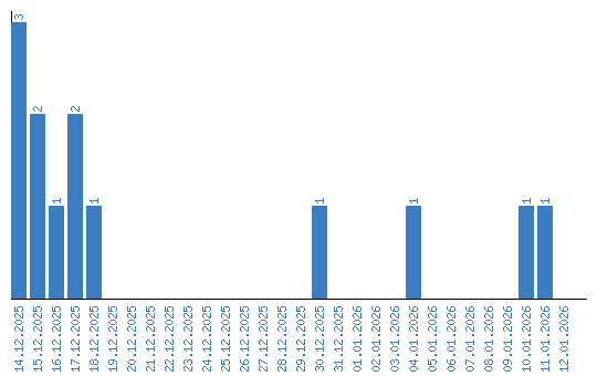
Viewing statistics by date