BusphotoBUSPHOTO

Picture Statistics

312 KB


Picture ID:598642
File Size:312 KB
Author:ToBen
Publication Date:24.02.2024 20:28 EET
Days in Database:671
Unique views:226
Comments:0

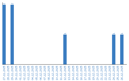
Viewing statistics by date