BusphotoBUSPHOTO

Picture Statistics

509 KB


Picture ID:599210
File Size:509 KB
Author:ToBen
Publication Date:26.02.2024 12:58 EET
Days in Database:703
Unique views:124
Comments:0

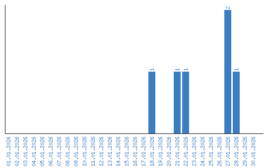
Viewing statistics by date