BusphotoBUSPHOTO

Picture Statistics

510 KB


Picture ID:601773
File Size:510 KB
Author:Valius Kedainietis
Publication Date:03.03.2024 21:29 EET
Days in Database:671
Unique views:206
Comments:0

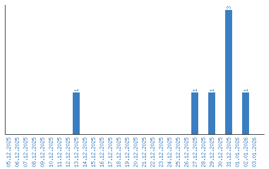
Viewing statistics by date