BusphotoBUSPHOTO

Picture Statistics

584 KB


Picture ID:605960
File Size:584 KB
Author:_fan_2_trains_
Publication Date:16.03.2024 11:29 EET
Days in Database:650
Unique views:491
Comments:0

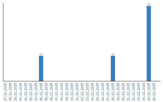
Viewing statistics by date