BusphotoBUSPHOTO

Picture Statistics

332 KB


Picture ID:606876
File Size:332 KB
Author:ToBen
Publication Date:19.03.2024 00:18 EET
Days in Database:672
Unique views:278
Comments:0

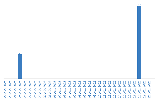
Viewing statistics by date