BusphotoBUSPHOTO

Picture Statistics

818 KB


Picture ID:607856
File Size:818 KB
Author:Aleksi
Publication Date:22.03.2024 18:39 EET
Days in Database:706
Unique views:237
Comments:0

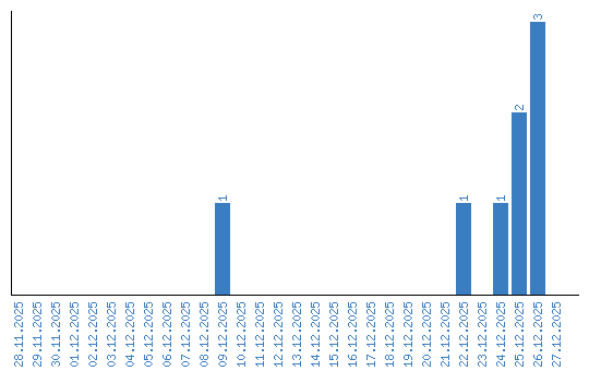
Viewing statistics by date