BusphotoBUSPHOTO

Statistiques d'images

7535 KO


ID de l'image:614821
Taille du fichier:7535 KO
Auteur:Karosák
Date de publication:12.04.2024 01:54 EET
Jours dans la base de données:640
Vues uniques:310
Commentaires:0

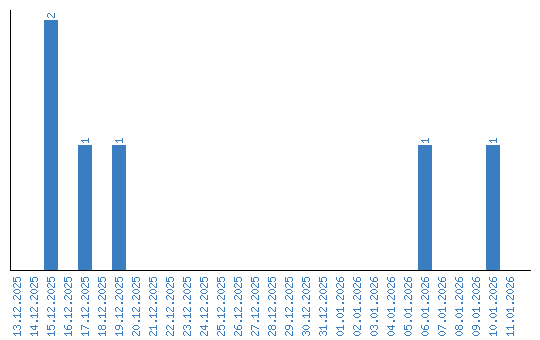
Affichage des statistiques par date