BusfotoBUSFOTO

Bildinformationen

3987 KB


Foto-ID:616260
Dateigröße:3987 KB
Aufgenommen von:bus.troll.brest
Veröffentlicht am:16.04.2024 15:47 EET
Tage seit Veröffentlichung:667
Aufrufe:415
Kommentare:0

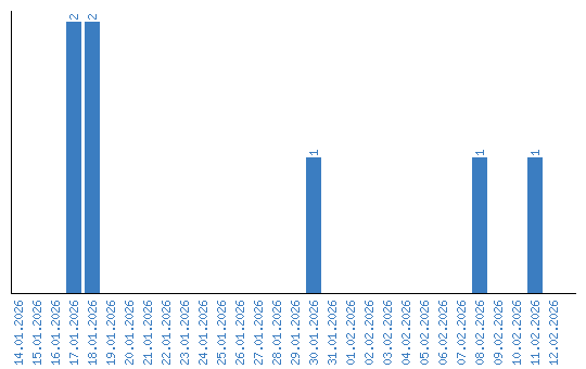
Aufrufestatistik (Tage)