BusphotoBUSPHOTO

Picture Statistics

423 KB


Picture ID:616343
File Size:423 KB
Author:beffan
Publication Date:16.04.2024 17:56 EET
Days in Database:663
Unique views:430
Comments:0

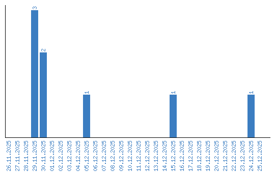
Viewing statistics by date