BusphotoBUSPHOTO

Statistiques d'images

687 KO


ID de l'image:618618
Taille du fichier:687 KO
Auteur:Дмитрий_931
Date de publication:23.04.2024 14:27 EET
Jours dans la base de données:661
Vues uniques:278
Commentaires:0

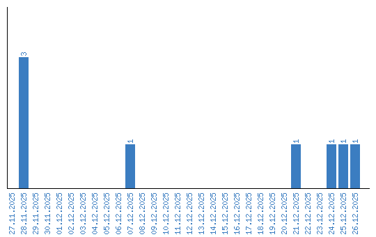
Affichage des statistiques par date