BusphotoBUSPHOTO

Picture Statistics

7711 KB


Picture ID:621924
File Size:7711 KB
Author:KurvenKratzer
Publication Date:02.05.2024 00:30 EET
Days in Database:640
Unique views:217
Comments:0

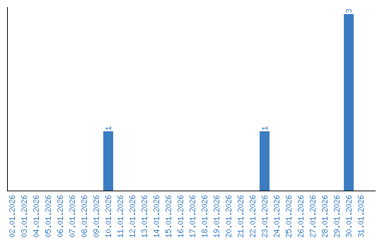
Viewing statistics by date