BusphotoBUSPHOTO

Nuotraukos informacija

5203 Kb


Nuotraukos identifikatorius:623523
Bylos dydis:5203 Kb
Autorius:Busfotos Zürich
Publikuota:06.05.2024 12:37 EET
Yra tinklapyje dienų:624
Unikalių peržiūrų:321
Komentarų:0

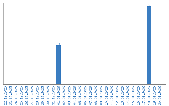
Peržiūrų dinamika pagal dienas