BusphotoBUSPHOTO

Picture Statistics

676 KB


Picture ID:634152
File Size:676 KB
Author:DerJan162
Publication Date:02.06.2024 19:11 EET
Days in Database:571
Unique views:367
Comments:0

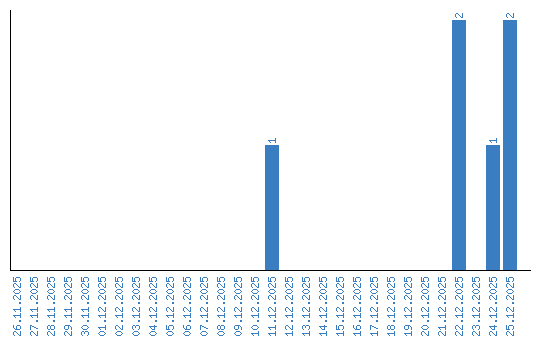
Viewing statistics by date