BusphotoBUSPHOTO

Picture Statistics

8066 KB


Picture ID:637955
File Size:8066 KB
Author:Sergej Transporter
Publication Date:13.06.2024 16:37 EET
Days in Database:624
Unique views:527
Comments:0

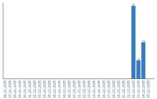
Viewing statistics by date