BusphotoBUSPHOTO

Picture Statistics

189 KB


Picture ID:638108
File Size:189 KB
Author:rostik
Publication Date:13.06.2024 21:30 EET
Days in Database:591
Unique views:136
Comments:0

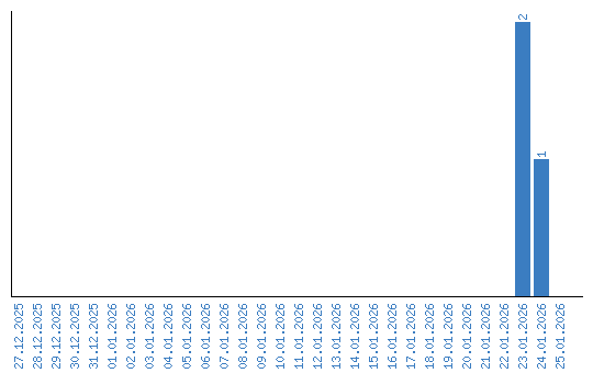
Viewing statistics by date