BusphotoBUSPHOTO

Picture Statistics

466 KB


Picture ID:638261
File Size:466 KB
Author:MichelH
Publication Date:14.06.2024 00:34 EET
Days in Database:578
Unique views:411
Comments:0

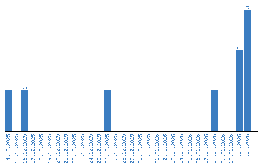
Viewing statistics by date