BusphotoBUSPHOTO

Picture Statistics

319 KB


Picture ID:63840
File Size:319 KB
Author:ЮмЗ Е2
Publication Date:11.01.2013 23:06 EET
Days in Database:4731
Unique views:216
Comments:0

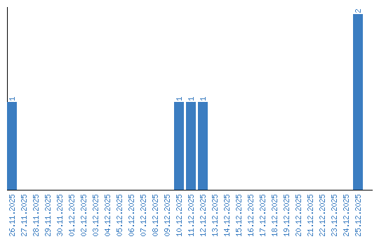
Viewing statistics by date